7. Sınıf Matematik Ders Kitabı 12-13-17-19-20. Sayfa Cevapları MEB Yayınları
7. Sınıf Matematik Ders Kitabı 12-13-17-19-20. Sayfa Cevapları MEB Yayınları 2025-2026 eğitim-öğretim yılı konusu içerisinde 7. sınıf öğrencilerinin en çok ihtiyaç duyabileceği konular arasında bulunan ve içerisinde Tam Sayılarla Toplama ve Çıkarma konusunun bulunduğu 7. Sınıf Matematik Ders Kitabı Sayfa 12-13-17-19-20 Cevapları konusunu paylaştık. Cevaplarla ilgili görüş ve önerilerinizi yorumlardan yazarak bildirebilirsiniz.

7.Sınıf MEB Yayınları Matematik Ders Kitabı 12-13-17-19-20. Sayfa Cevapları Tam Sayılarla Toplama ve Çıkarma
- 7. Sınıf Matematik Ders Kitabı Sayfa 12 Cevapları MEB Yayınları
- 7. Sınıf Matematik Ders Kitabı Sayfa 13 Cevapları MEB Yayınları
- 7. Sınıf Matematik Ders Kitabı Sayfa 17 Cevapları MEB Yayınları
- 7. Sınıf Matematik Ders Kitabı Sayfa 19 Cevapları MEB Yayınları
- 7. Sınıf Matematik Ders Kitabı Sayfa 20 Cevapları MEB Yayınları
7. Sınıf Matematik Ders Kitabı Sayfa 12 Cevapları MEB Yayınları
1. Aşağıdaki okların karşısına verilen ifadelere uygun tam sayıları yazınız.
Cevap:
➢ İki basamaklı en küçük tam sayı ..10..
➢ Rakamları farklı üç basamaklı en büyük tam sayı ..987..
➢ En büyük negatif tam sayı ..-1..
➢ İki basamaklı negatif en küçük çift tam sayı ..-11..
➢ İki basamaklı rakamları farklı en büyük tek tam sayı. ..98..
2. Aşağıdaki boşluklara <, >, = sembollerinden uygun olanları yazınız.
Cevap:

3. Sayı doğrusu üzerinde (-7) ile (+5) arasındaki tam sayıları gösteriniz.
Cevap: …-7, -6, -5, -4, -3, -2, -1, 0, 1, 2, 3, 4, 5…
4. Aşağıdaki ifadelere karşılık gelen tam sayıları yazınız.
Cevap:
➢ Hasan’ın bakkala 20 Türk lirası borcu vardır. ….-20…….
➢ Elif, denizin 10 metre derinliğine dalmıştır. …..-10…….
➢ Devrim Bey’in evi apartmanın 8. katındadır. …..+8…..
➢ Kerem Bey’in odası hastanenin zemin katındadır. …0…
7. Sınıf Matematik Ders Kitabı Sayfa 13 Cevapları MEB Yayınları

➢ Osman, ballıbaba bitkisini bulduğunda deniz seviyesinden ne kadar yüksektedir?
Cevap: 1250 + 250 = 1500 metre yüksekliktedir.
➢ Defne, uçağa ulaştığında deniz seviyesinden ne kadar derindedir?
Cevap: 15 + 10 = 25 metre derinliktedir.
➢ Osman, ballıbaba bitkisini bulduktan sonra 500 metre aşağıda bulunan kamp alanına geri dönmüştür. Buna göre kamp alanının rakımı kaçtır?
Cevap: 1500 – 500 = 1000 metredir.
➢ Defne, resife dalarken 8 metre derinlikte balık sürüsüyle karşılaşmış, balıkların fotoğraflarını çekmiştir. Dalgıç Defne’nin resife ulaşabilmesi için ne kadar daha dalması gerekmektedir?
Cevap: 25 – 8 = 17 metre daha dalması gerekir.
7. Sınıf Matematik Ders Kitabı Sayfa 17 Cevapları MEB Yayınları
Sıra Sizde
1. Aşağıda verilen işlemleri yapınız
Cevap:
a. (-8) + (-7) = …-15…
b. (+15) + (+22) = …+37…
c. (-27) + (+19) = …-8…
ç. (+47) + (-24) = …..+23…..
d. (-8) + (+12) + (-22) = ..-8 + 12 – 22 = -18..
e. (+18) + (-4) + (-7) + (+5) = ..+18 – 4 – 7 + 5 = +23 – 11 = +12..
2. (-47) sayısının toplama işlemine göre tersi A ve (+51) sayısının toplama işlemine göre tersi B’dir. Buna göre A + B kaçtır?
Cevap:
(-47) → tersi A ise +47
(+51) → tersi B ise -51
Buna göre
A + B = (+47) + (-51) = -4
3. Günlük 180 Türk lirası ücretle çalışan bir kasiyer, işe gidiş geliş için 10 Türk lirası ve öğle yemeği için 15 Türk lirası harcamaktadır. Bu kasiyerin gün içerisinde başka harcaması yoktur. Buna göre bu kasiyerin aynı gün içinde harcamalarından sonra elinde kalan para kaç Türk lirasıdır?
Cevap:
10 + 15 = 25
180 – 25 = 155 TL kalmaktadır.
4. Bakkal Deniz’in toptancıya 565 Türk lirası borcu vardır. Kasasında 365 Türk lirası olan Deniz’in sattığı ürünlerden ise 259 Türk lirası alacağı olduğuna göre Deniz alacaklarını da tahsil edip toptancıya borcunu öderse elinde kaç Türk lirası kalır?
Cevap:
565 toplam borç
Elindeki para 365 TL
Sattığı ürün 259 TL
365 + 259 = 624 TL elindeki toplam parası
624 – 565 = 59 TL toptancıya ödedikten sonra elindeki kalan para
5. Dalgıç olan Elifnaz deniz canlılarını incelemek için 40 metre dalmış buradaki canlı yaşamını kayıt altına almıştır. Daha sonra bulunduğu yerden 25 metre yükselmiş gördüğü balıkların fotoğrafını çekmiştir. Oksijen tüpündeki oksijen miktarının azaldığını fark eden dalgıç, yüzeye çıkabilmek için kaç metre yükselmelidir?
Cevap:
40 metre dalmış
25 metre çıkmıştır
40 – 25 = 15 metre daha yükselmelidir.
6. Aşağıda sayı doğruları üzerinde modellenen işlemleri matematiksel ifadelerle eşleştiriniz.
Cevap:

7. Aşağıda verilen ifadelerde toplama işleminin hangi özelliğinin kullanıldığını karşılarına yazınız
Cevap:
a. (-5) + (+8) = (+8) + (-5) …..Değişme özelliği kullanılmıştır…..
b. (+4) + 0 = (+4) ….Etkisiz eleman özelliği…….
c. (+18) + (-18) = 0 …..Ters eleman özelliği……
ç. [(-4) + (-5)] + (+10) = (-4) + [(-5) + (+10)] …..Birleşme özelliği……
7. Sınıf Matematik Ders Kitabı Sayfa 19 Cevapları MEB Yayınları
Sıra Sizde
1. Aşağıda verilen işlemleri yapınız
Cevap:
a. (-17) – (+7) = -17 – 7 = -24
b. (+25) – (+10) = +25 – 10 = +15
c. (+45) – (-16) = +45 + 16 = +61
ç. (-49) – (+56) = -49 -56 = -105
d. (+56) – (-25) – (+46) = +56 + 25 – 46 = +35
e. (+98) – (-76) – (+72) = +98 + 76 – 72 = +102
2. İki basamaklı rakamları farklı en küçük pozitif tek tam sayı, iki basamaklı en küçük negatif çift tam sayıdan kaç fazladır?
Cevap: (+13) – (-98) = +111 fazladır.
3. Pilotluk eğitimi alan Gökçe, eğitim uçağı ile yerden 1500 metre yükselmiş; dalgıçlık eğitimi alan Halil ise 35 metre derinliğe dalış yapmıştır. Gökçe, Halil’in bulunduğu konumdan kaç metre yüksektedir?
Cevap: (+1500) – (-35) = 1535 m yüksektedir.
4. Zeynep ile Rukiye aynı noktadan zıt yönlere doğru yürümeye başlamışlar; Zeynep 360 metre, Rukiye ise 1440 metre yürümüştür. Son durumda Zeynep ile Rukiye arasındaki uzaklık kaç metredir?
Cevap: (+360) – (-1440) = 1800 metre aralarındaki uzaklık.
5. Bir şirketin üçüncü katındaki çay ocağını işleten Salih Bey, çay ocağının dört kat yukarısında bulunan Hayriye Hanım’a çay götürür. Daha sonra bir önceki günden kalan boş bardakları toplamak için iki kat daha çıkan Salih Bey son durumda binanın kaçıncı katında bulunmaktadır?
Cevap:
İlk olarak (+3) + (+4) = +7. kata gelmiştir.
Daha sonra (+7) + (+2) = +9. kata gelmiştir.
Salih bey son olarak binanın 9. katındadır.
6. Aşağıdaki yönergeleri izleyerek A + B işleminin sonucunu bulunuz.
Cevap:

7. Aşağıdaki işlemlerin hangisinin sonucu diğerlerinden farklıdır, bulunuz.
Cevap: ç Farklıdır.
a. (-8) – (+3) = -8 – 3 = -11
b. (-15) – (-4) = -15 + 4 = -11
c. (+8) – (+19) = +8 – 19 = -11
ç. (+4) – (+14) = +4 – 14 = -10
7. Sınıf Matematik Ders Kitabı Sayfa 20 Cevapları MEB Yayınları
1. (+350) + (-290) işleminin sonucu kaçtır?
Cevap: D) 60
(+350) + (-290) =
+350 – 290 = +60
2. (-25) – (-60) işleminin sonucu kaçtır?
Cevap: D) 35
(-25) – (-60) =
-25 + 60 = +35
3. Eskişehir’de sabah 05.00’te hava sıcaklığı -11 °C’tur. Her saat sıcaklık 2 °C artarsa saat 12.00’de sıcaklık kaç °C olur?
Cevap: C) 3
Her saat 2°C arttığına göre
05.00 → -11°C
12.00 → 2 x 7 = 14° artar. Buna göre;
(-11) + (+14) = +3°C olur.
4. -36 tam sayısının toplama işlemine göre tersi A, 28 tam sayısının toplama işlemine göre tersi B’dir. Buna göre A + B kaçtır?
Cevap:
-36 → tam tersi A ise +36
+28 → tam tersi B ise – 28
A + B Buna göre;
(+36) + (-28) = +36 – 28 = +8 olur.
5. Bir okulun zil saati günde 5 dakika geri kalmaktadır. Bu okulun zil saati cuma günü saat 17.00’de ayarlanıyor. Bir sonraki perşembe günü saat 17.00’de zil saati kaçı gösterir?
Cevap:
Günde 5 dakika geri kaldığına göre
Cuma günü 17.00
Perşembe → 6 gün olduğuna göre 6 .x 5 = 30 dakika geri olur.
17.00 – 0.30 = 16.30’u gösterir.
6. Aşağıda verilen eşitliklerde her şekil bir tam sayıyı ifade etmektedir.
☐ + 6 = ✳
∆ + 4 = ◊
8 – ☐ = 13
☐ + ∆ = 7
olduğuna göre ✳ + ◊ ifadesinin sonucu kaçtır?
Cevap: D) 17
8 – ☐ = 13
-☐ = 13 – 8
-☐ = 5
☐ = -5
☐ + ∆ = 7
(-5) + ∆ = 7
∆ = 7 + 5
∆ = +12
∆ + 4 = ◊
(+12) + (+4) = ◊
+16 = ◊
☐ + 6 = ✳
(-5) + (+6) = ✳
✳ = + 1
✳ + ◊ = ?
(+1) + (16) = +17
7. İki basamaklı en büyük doğal sayı ile iki basamaklı en küçük tam sayının toplamı kaçtır?
Cevap:
İki basamaklı en büyük doğal sayı → 99
iki basamaklı en küçük tam sayının → -99
Toplamı → (+99) + (-99) = 0 olur

8. Sayı doğrusunda gösterilen işlem aşağıdakilerden hangisidir?
Cevap: A) (+3) + (+4) + (-15) = (-8)
9. Aşağıda verilen toplama tablosunda elde edilecek en büyük tam sayı ile en küçük tam sayının toplamı kaçtır?
Cevap: D) 4

En büyük tam sayı → +8
En küçük tam sayı → -4
Buna göre (+8) + (-4) = +4 olur

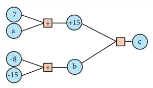
a, b, c birer tam sayıdır. Yukarıda verilen toplama ve çıkarma işleminde a + b + c işleminin sonucu aşağıdakilerden hangisi olabilir?
Cevap: B) 37
(-7) + (a) = +15
+15 + 7 = a
+22 = a
(-8) + (-15) = b
-23 = b
(+15) – (-23) = +37
Aradığınız ödevi bulamadıysanız lütfen Edat Yayıncılık 2026 veya MEB Yayınları 2026 ana içeriğimizi ziyaret ediniz.

Ders ve Çalışma kitabı cevapları aramalarınızda internet sitemizi daha üst sıralarda listelemek için aramalarınızın sonuna "forum sınıf" yazabilirsiniz.
Örnek Kullanım: 3. sınıf türkçe sayfa 11 forum sınıf

