7. Sınıf Matematik Ders Kitabı 104-108-109-114. Sayfa Cevapları EDAT Yayınları
7. Sınıf Matematik Ders Kitabı 104-108-109-114. Sayfa Cevapları EDAT Yayınları 2025-2026 eğitim-öğretim yılı konusu içerisinde 7. sınıf öğrencilerinin ne çok ihtiyaç duyabileceği konular arasında bulunan ve içerisinde Cebirsel İfadelerle Toplama, Çıkarma ve Çarpma İşlemleri konusunun yer aldığı 7. Sınıf Matematik Ders Kitabı Sayfa 104-108-109-114 Cevapları konusunu paylaştık. Cevaplarla ilgili görüş ve önerilerinizi yorumlardan yazarak bildirebilirsiniz.

7.Sınıf Matematik Ders Kitabı EDAT Yayınları 104-108-109-114. Sayfa Cevapları Cebirsel İfadelerle Toplama, Çıkarma ve Çarpma İşlemleri
7. Sınıf Matematik Ders Kitabı Sayfa 104 Cevapları EDAT Yayınları
Cebirsel İfadelerle Toplama ve Çıkarma İşlemleri

Bir şirkette çaycı olarak görev yapan Hamza Bey bugün, dün dağıttığı çay sayısının 2 katının 5 eksiği sayıda çay dağıtmıştır. Buna göre Hamza Bey’in dün ve bugün dağıttığı toplam çay sayısı matematik cümlesi ile nasıl belirtilebilir? Açıklayınız.
Cevap:
Dağıtılan çay miktarını Çay X olarak düşünebiliriz.
Bugün 2 x – 5 tane çay dağıtmıştır. Toplayacak olursak 2x-5+x=3×5 tane çay dağıttığı söylenebilir.
7. Sınıf Matematik Ders Kitabı Sayfa 108 Cevapları EDAT Yayınları
Alıştırmalar
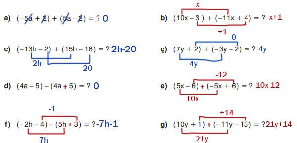
1-) Aşağıdaki işlemler ile bu işlemlerin sonuçları eşleştirildiğinde hangi cebirsel ifade açıkta kalır?Cevap:

2-) Aşağıdaki işlemleri yapınız.
Cevap:

3-) ( –c – 1) + (–c – 2) + (2c + 4) işleminin sonucunu bulunuz.
Cevap:

7. Sınıf Matematik Ders Kitabı Sayfa 109 Cevapları EDAT Yayınları
Bir Doğal Sayı ile Bir Cebirsel İfadeyi Çarpma

Cengiz, kartona çizdiği eşkenar üçgenin çevre uzunluğunu kısa yoldan nasıl hesaplayabilir? Açıklayınız.
Cevap: Cengiz, kartondaki eşkenar üçgenin çevre uzunluğunu hesaplamak için x + x + x = 3x şeklinde bir yol izleyebilir. Bunun yerine kısa yoldan 3.x = 3x sonucunu da elde edebilir.
7. Sınıf Matematik Ders Kitabı Sayfa 114 Cevapları EDAT Yayınları
Alıştırmalar
1. Mavi cebir karosu x değişkenini, sarı cebir karosu +1 sayısını temsil etmek üzere aşağıda cebir karolarıyla modellenen çarpma işlemlerini yanlarındaki noktalı yerlere yazınız.
Cevap:

2 Aşağıda verilen işlemlerden doğru olanların başındaki kutucuğa “D”, yanlış olanların başındaki kutucuğa “Y” yazınız.
Cevap:

3. Aşağıda verilen çarpma işlemlerini yapınız.
Cevap:

Aradığınız ödevi bulamadıysanız lütfen Edat Yayıncılık 2026 veya MEB Yayınları 2026 ana içeriğimizi ziyaret ediniz.

Ders ve Çalışma kitabı cevapları aramalarınızda internet sitemizi daha üst sıralarda listelemek için aramalarınızın sonuna "forum sınıf" yazabilirsiniz.
Örnek Kullanım: 3. sınıf türkçe sayfa 11 forum sınıf

