8. Sınıf Matematik Ders Kitabı 120-125-126-127-131. Sayfa Cevapları ADA Yayıncılık
8. Sınıf Matematik Ders Kitabı 120-125-126-127-131. Sayfa Cevapları ADA Yayıncılık 2025-2026 eğitim-öğretim yılı konusu içerisinde 8. sınıf öğrencilerinin ne çok ihtiyaç duyabileceği konular arasında bulunan ve içerisinde Özdeşlikler ve Çarpanlara Ayırma konusunun yer aldığı 8. Sınıf Matematik Ders Kitabı Sayfa 120-125-126-127-131 Cevapları konusunu paylaştık. Cevaplarla ilgili görüş ve önerilerinizi yorumlardan yazarak bildirebilirsiniz.

8.Sınıf Matematik Ders Kitabı ADA Yayıncılık 120-125-126-127-131. Sayfa Cevapları Özdeşlikler ve Çarpanlara Ayırma
- 8. Sınıf Matematik Ders Kitabı Sayfa 120 Cevapları ADA Yayıncılık
- 8. Sınıf Matematik Ders Kitabı Sayfa 125 Cevapları ADA Yayıncılık
- 8. Sınıf Matematik Ders Kitabı Sayfa 126 Cevapları ADA Yayıncılık
- 8. Sınıf Matematik Ders Kitabı Sayfa 127 Cevapları ADA Yayıncılık
- 8. Sınıf Matematik Ders Kitabı Sayfa 131 Cevapları ADA Yayıncılık
8. Sınıf Matematik Ders Kitabı Sayfa 120 Cevapları ADA Yayıncılık
Özdeşlikler
Pazarcı Ali Bey 1 kg domatesi alış fiyatının 2 TL eksiğinin 3 katı fiyatla satıyor. Pazarcı Ahmet Bey ise aynı domatesin 1 kg’ını alış fiyatının 3 katının 6 TL eksiği fiyatla satıyor.
Ali Bey ile Ahmet Bey müşterilerine çürük ve ezik domatesleri satmıyorlar. Ali Bey, Ahmet Bey’e göre domatesi daha ucuza sattığını iddia ediyor. Sizce Ali Bey haklı mıdır? Nedenini açıklayınız.
Cevap:
Domates’e x TL fiyattan aldıklarını varsayalım.
Ali Bey’in satış fiyatı (x-2) . 3
Ahmet Bey’in satış fiyatı 3x-6
Bu nedenle Ali Bey haksızdır, ikisi de aynı fiyatta ürün satmaktadır. Bunu anlamak için dağılma özelliğine bakabiliriz.

8. Sınıf Matematik Ders Kitabı Sayfa 125 Cevapları ADA Yayıncılık
Alıştırmalar
1. Tanılayıcı dallanmış ağaç diyagramında ifade doğru ise D yönündeki ok, yanlış ise Y yönündeki ok takip edilir.

Tanılayıcı dallanmış ağaç diyagramı ifadelerin doğru ya da yanlışlığına göre ifade edildiğinde son adımdaki işlemin sonucu kaç olur?
Cevap:

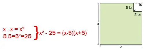
2. Alanı 25a² birimkare olan bir kontrplaktan, alanı 9b² birimkarelik bir parça kesiliyor. Kalan parçanın kaç birimkare olduğunu aşağıdakilerden hangisi gösterir?
Cevap: C) (5a – 3b) · (5a + 3b)

8. Sınıf Matematik Ders Kitabı Sayfa 126 Cevapları ADA Yayıncılık
3. Bir çiftçi bir kenarı 5x metre olan kare şeklindeki bahçesinde, her birinin kenar uzunluğu 2y metre olan belli sayıda karesel bölge belirlemiştir. Bahçede karesel bölgeler dışında kalan bölgenin alanı (5x – 8y) ·(5x + 8y) metrekare olduğuna göre belirlenen karesel bölge sayısını bulunuz.
Cevap:

4. Uzun kenarının uzunluğu “p”, kısa kenarının uzunluğu “r” olan, eş dikdörtgensel bölgeler, yanda verilen şekildeki gibi birleştiriliyor. Şekildeki boyalı bölgenin alanını cebirsel olarak ifade ediniz.
Cevap:

5. Aşağıdaki ifadelerin özdeşlerini bulunuz.
Cevap:

6. Aşağıdaki ifadelerden özdeş olanları eşleştiriniz.
Cevap:

7. a²–△ = (a – 13) ·(a + 13) eşitliği veriliyor. △ yerine yazılması gereken sayıyı bulunuz.
Cevap:

8. a² + b² = 97 ve ab = 36 olduğuna göre a + b’nin alabileceği değerleri bulunuz.
Cevap:

9. (a-b)² = 64 ve a² + b² = 70 olduğuna göre a . b’nin değerini bulunuz.
Cevap:

8. Sınıf Matematik Ders Kitabı Sayfa 127 Cevapları ADA Yayıncılık
Çarpanlara Ayırma
ETKİNLİK
• Birbirine bitişik iki dikdörtgenden oluşan yandaki şekli inceleyelim.

• ABEF dikdörtgeninin alanını veren cebirsel ifadeyi yazalım.
Cevap: a.c
• BCDE dikdörtgeninin alanını veren cebirsel ifadeyi yazalım.
Cevap: b.c
• ACDF dikdörtgeninin alanını veren cebirsel ifadeyi yazalım.
Cevap: (a+b) . c
• ABEF dikdörtgeni ile BCDE dikdörtgeninin alanları toplamı ACDF dikdörtgeninin alanına eşit olur mu? Tartışalım.
Cevap: a . c + b . c = (a+b) . c (c’yi paranteze dağıtırız ve eşit olduğu ortaya çıkar)
• Bu eşitliği sağlayan matematiksel ifadeyi yazalım. ACDF dikdörtgeni ile ABEF ve BCDE dikdörtgenlerinin ortak olan kenarının hangisi olduğunu söyleyelim.
Cevap: C kenarı ortaktır
8. Sınıf Matematik Ders Kitabı Sayfa 131 Cevapları ADA Yayıncılık
Alıştırmalar
1. Aşağıda verilen ifadeleri çarpanlarına ayırınız.
Cevap:

2. Aşağıdaki eşitliklerden doğru olanlara “D”, yanlış olanlara “Y” yazınız.
Cevap:

3. 200² – 180² = A · 76 olduğuna göre A kaçtır?
Cevap:

4. Yanda verilen boyalı bölgenin alanını veren cebirsel ifadeyi ve bu cebirsel ifadenin çarpanlarına ayrılmış hâlini yazınız.
Cevap:

5. x 9 = 5 olduğuna göre 2x²– 36x + 162 ifadesinin değerini bulunuz.
Cevap:

6. 64x² + Ax + 25 ifadesinin iki ifadenin toplamının karesi olması için A yerine yazılması gereken sayıları bulunuz.
Cevap:

7. Alanı 2x² + 44x + 242 olan dikdörtgenin bir kenarının uzunluğu 2 cm olduğuna göre diğer kenarının uzunluğu santimetre cinsinden veren cebirsel ifade aşağıdakilerden hangisidir?
Cevap: D) (x+11)²

8. x = 20 ve y = 24 olmak azere 9×2 – 24xy + 16y2 ifadesinin değerini hesaplayınız.
Cevap:

Aradığınız ödevi bulamadıysanız lütfen Sonuç Yayınları 2025 veya MEB Yayınları 2025 ana içeriğimizi ziyaret ediniz.

Ders ve Çalışma kitabı cevapları aramalarınızda internet sitemizi daha üst sıralarda listelemek için aramalarınızın sonuna "forum sınıf" yazabilirsiniz.
Örnek Kullanım: 3. sınıf türkçe sayfa 11 forum sınıf

