8. Sınıf Matematik Ders Kitabı 136-137-138-139-140. Sayfa Cevapları MEB Yayınları
8. Sınıf Matematik Ders Kitabı 136-137-138-139-140. Sayfa Cevapları MEB Yayınları 2025-2026 eğitim-öğretim yılı konusu içerisinde 8. sınıf öğrencilerinin ne çok ihtiyaç duyabileceği konular arasında bulunan ve içerisinde Alıştırmalar ve İki Terimin Toplamının Karesi Özdeşliği konusunun yer aldığı 8. Sınıf Matematik Ders Kitabı Sayfa 136-137-138-139-140 Cevapları konusunu paylaştık. Cevaplarla ilgili görüş ve önerilerinizi yorumlardan yazarak bildirebilirsiniz.

8.Sınıf Matematik Ders Kitabı MEB Yayınları 136-137-138-139-140. Sayfa Cevapları Alıştırmalar ve İki Terimin Toplamının Karesi Özdeşliği
- 8. Sınıf Matematik Ders Kitabı Sayfa 136 Cevapları MEB Yayınları
- 8. Sınıf Matematik Ders Kitabı Sayfa 137 Cevapları MEB Yayınları
- 8. Sınıf Matematik Ders Kitabı Sayfa 138 Cevapları MEB Yayınları
- 8. Sınıf Matematik Ders Kitabı Sayfa 139 Cevapları MEB Yayınları
- 8. Sınıf Matematik Ders Kitabı Sayfa 140 Cevapları MEB Yayınları
8. Sınıf Matematik Ders Kitabı Sayfa 136 Cevapları MEB Yayınları
Alıştırmalar
1-) Aşağıdaki çarpma işlemlerini cebir karolarını kullanarak yapınız.

2 Aşağıda cebir karoları ile verilen çarpma işlemlerini yazınız ve bunların sonucunu bulunuz.
Cevap:

8. Sınıf Matematik Ders Kitabı Sayfa 137 Cevapları MEB Yayınları
3) Aşağıdaki soruları cevaplayınız.
a) Her birinde (4x -1) adet limon olan kasalardan 8x tanesinde toplam kaç adet limon olduğunu gösteren cebirsel ifadeyi yazınız.

b) Dikdörtgenler prizması şeklindeki dolabın görünen yüzünün kenar uzunlukları x cm ve (2x – 1) cm’dir. Buna göre görünen yüzün alanını gösteren cebirsel ifadeyi bulunuz.

c) Mert’in yaşı Ela’nın yaşının x katından 4 eksiktir. Ela 2x + 1 yaşında ise Mert’in yaşını gösteren cebirsel ifadeyi yazınız.

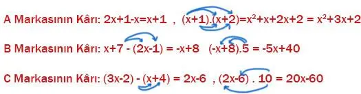
4) Aşağıda A, B ve C markalı otomobillerin alış ve satış fiyatları cebirsel ifade olarak verilmiştir.

A otomobilinden x + 2 adet, B otomobilinden 5 adet ve C otomobilinden de 10 adet satan bir galerinin elde ettiği kârı cebirsel ifade olarak yazınız.
Cevap:

5) Yandaki şekilde bir kamyon kasasının dikdörtgen şeklindeki tabanında istiflenmiş keresteler ve bu keresteler ile kamyon kasası arasındaki bazı uzunluklar cebirsel ifade olarak verilmiştir. Bu kasada eşit uzunlukta 50b tane kısa ve eşit uzunlukta 20b tane uzun kereste bulunmaktadır.
Buna göre kasaya konan kerestelerin uzunluklarının toplamını gösteren cebirsel ifadeyi yazınız.
Cevap:

8. Sınıf Matematik Ders Kitabı Sayfa 138 Cevapları MEB Yayınları
6) Kenar uzunlukları aşağıdaki şekilde gösterilen dikdörtgen biçimindeki arsanın her bir kenarına (x – 2) m uzaklıkta bir çay bahçesi kurulmuştur. Bu çay bahçesinin etrafındaki toprak bölge m2 fiyatı 40 TL olan çimlerle döşenecektir.
Çimler için gereken parayı cebirsel olarak yazınız.
Cevap:

7) Aşağıda renkleri hariç özdeş bardaklarla oluşturulmuş şekillerin yükseklikleri verilmiştir.

Bu bardaklardan x + 3 tanesi iç içe konulduğunda bardakların yüksekliğini santimetre cinsinden veren cebirsel ifadeyi yazınız.
Cevap:

8. Sınıf Matematik Ders Kitabı Sayfa 139 Cevapları MEB Yayınları
Özdeşlikler
Ekolojik ayak izleri hesaplanan ülkelerden A ülkesinin ekolojik ayak izi, B ülkesinin ekolojik ayak izinin 3 katının 6 eksiği, C ülkesinin ekolojik ayak izi ise B ülkesinin ekolojik ayak izinin 2 eksiğinin 3 katı olarak belirlenmiştir. A ve C ülkesinin ekolojik ayak izlerinin büyüklükleri hakkında ne düşünürsünüz?
Cevap:
B ülkesinin ayak izi x
A ülkesinin ayak izi 3x-6
C ülkesinin ayak izi (x-2).3=3x-6
İşlemlere göre A ve C ülkesinin ekolojik ayak izleri büyüklüğü aynıdır.
8. Sınıf Matematik Ders Kitabı Sayfa 140 Cevapları MEB Yayınları
Sıra Sizde 1
Aşağıdaki ifadelerden hangilerinin denklem, hangilerinin özdeşlik olduklarını belirleyiniz.
Cevap:

Aradığınız ödevi bulamadıysanız lütfen Sonuç Yayınları 2026 veya MEB Yayınları 2026 ana içeriğimizi ziyaret ediniz.

Ders ve Çalışma kitabı cevapları aramalarınızda internet sitemizi daha üst sıralarda listelemek için aramalarınızın sonuna "forum sınıf" yazabilirsiniz.
Örnek Kullanım: 3. sınıf türkçe sayfa 11 forum sınıf

