8. Sınıf Matematik Ders Kitabı 152-154-157-159-160-161-162. Sayfa Cevapları MEB Yayınları
8. Sınıf Matematik Ders Kitabı 152-154-157-159-160-161-162. Sayfa Cevapları MEB Yayınları 2025-2026 eğitim-öğretim yılı konusu içerisinde 8. sınıf öğrencilerinin ne çok ihtiyaç duyabileceği konular arasında bulunan ve içerisinde Cebirsel İfadeleri Çarpanlara Ayırma ve Alıştırmalar konusunun yer aldığı 8. Sınıf Matematik Ders Kitabı Sayfa 152-154-157-159-160-161-162 Cevapları konusunu paylaştık. Cevaplarla ilgili görüş ve önerilerinizi yorumlardan yazarak bildirebilirsiniz.

8.Sınıf Matematik Ders Kitabı MEB Yayınları 152-154-157-159-160-161-162. Sayfa Cevapları Cebirsel İfadeleri Çarpanlara Ayırma ve Alıştırmalar
- 8. Sınıf Matematik Ders Kitabı Sayfa 152 Cevapları MEB Yayınları
- 8. Sınıf Matematik Ders Kitabı Sayfa 154 Cevapları MEB Yayınları
- 8. Sınıf Matematik Ders Kitabı Sayfa 157 Cevapları MEB Yayınları
- 8. Sınıf Matematik Ders Kitabı Sayfa 159 Cevapları MEB Yayınları
- 8. Sınıf Matematik Ders Kitabı Sayfa 160 Cevapları MEB Yayınları
- 8. Sınıf Matematik Ders Kitabı Sayfa 161 Cevapları MEB Yayınları
- 8. Sınıf Matematik Ders Kitabı Sayfa 162 Cevapları MEB Yayınları
8. Sınıf Matematik Ders Kitabı Sayfa 152 Cevapları MEB Yayınları
Cebirsel İfadeleri Çarpanlara Ayırma
Alanı (6x + 18y) m² olan dikdörtgensel bölge şeklindeki bahçesinin etrafına çit yaptırmak isteyen ev sahibi, bahçenin kenar uzunluklarını bilmeye ihtiyaç duyacaktır. Sizce bu bahçenin kenar uzunlukları ile alanı arasında nasıl bir ilişki vardır? Düşününüz.
Cevap: Bahçenin kenar uzunluklarını bulmak için kısa ve uzun kenarı çarparız. Bunun için verilen ifadeleri çarparak cebirsel ifadeleri bulmalıyız.
6x + 18y = 1 · (6x + 18y)
6x + 18y = 2 · (3x + 9y)
6x + 18y = 3 · (2x + 6y)
6x + 18y = 6 · (x + 3y) olacaktır.
6x + 18y ifadesini çarpanlarının çarpımı şeklinde yazarak ifadeyi çarpanlarına ayırdık ve bahçenin kenar uzunluklarını bulduk.
8. Sınıf Matematik Ders Kitabı Sayfa 154 Cevapları MEB Yayınları
Sıra Sizde 1
Aşağıda modellenmiş hâli verilen cebirsel ifadeyi ortak çarpan parantezine alarak çarpanlarına ayırınız.
Cevap: y · (y + 4)
Sıra Sizde 2
Aşağıdaki cebirsel ifadeleri ortak çarpan parantezine alarak çarpanlarına ayırınız.
Cevap:

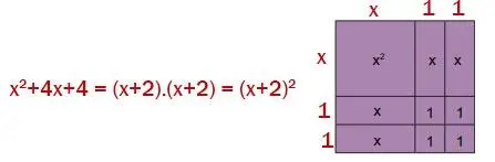
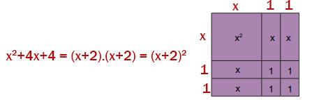
8. Sınıf Matematik Ders Kitabı Sayfa 157 Cevapları MEB Yayınları
Sıra Sizde 1
Yanda cebir karoları ile modellenmiş hâli verilen cebirsel ifadeyi yazarak çarpanlarına ayırınız.
Cevap:

Sıra Sizde 2
Aşağıdaki cebirsel ifadeleri çarpanlarına ayırınız.
Cevap:

8. Sınıf Matematik Ders Kitabı Sayfa 159 Cevapları MEB Yayınları
Sıra Sizde 1
Aşağıdaki ifadeleri çarpanlarına ayırınız.
Cevap:

8. Sınıf Matematik Ders Kitabı Sayfa 160 Cevapları MEB Yayınları
Alıştırmalar
1) Aşağıdaki boşlukları doldurunuz.
Cevap:

2) Aşağıda cebir karoları ile modellenen ifadeleri çarpanlarına ayırınız.
Cevap:

3) (98,2)² – (1,8)² = 10 · k olduğuna göre k nedir?
Cevap:

8. Sınıf Matematik Ders Kitabı Sayfa 161 Cevapları MEB Yayınları
4) Yandaki şekil bir minderin ön yüzü için hazırlanan kare şeklindeki kumaşı göstermektedir. Alanı 9y² cm² olan bu kumaş, kenarlara ikişer cm uzaklıktaki işaretli bölgelerden katlanıp dikilecektir.
Bu kumaşın katlandıktan sonraki alanını veren cebirsel ifadeyi bulup çarpanlarına ayırınız.
Cevap:

5) Aşağıda alanları verilen karelerin bir kenar uzunluklarını bulunuz.
Cevap:

6) Aralarında (4x² + 12xy) metre mesafe olan iki tır saniyede 9y metre birbirinden uzaklaşmaktadır. Bu iki tırın y saniye sonra arasındaki mesafeyi veren cebirsel ifadeyi yazarak bu ifadeyi çarpanlarına ayırınız.
Cevap:

7) Bir yüzü kırmızı, bir yüzü mavi renkte olan aşağıdaki kâğıdın kenar uzunlukları 16y ve 9y’dir.
Dikdörtgen şeklindeki bu kâğıt, işaretli noktalardan arkadan öne doğru katlandığında oluşan kırmızı bölgenin alanını veren cebirsel ifadenin çarpanlarına ayrılmış hâlini yazınız.
Cevap:

8. Sınıf Matematik Ders Kitabı Sayfa 162 Cevapları MEB Yayınları
8) Yandaki şekilde bir tarladaki arpa, buğday, mısır ve yulaf ekili alanlar görülmektedir.
Yulaf ekili bölgenin bir kenar uzunluğu (x – 2) m olduğuna göre buğday ekili bölge ile mısır ekili bölgenin alanlarının toplamını metrekare cinsinden veren cebirsel ifadeyi yazınız.
Cevap:

9) Semih, gezdiği yerlerin magnetlerini yandaki şekilde görüldüğü gibi buzdolabının üst kapağına yapıştırmaktadır. Magnetler karesel ve dikdörtgensel bölgelerden oluşmaktadır. Bu bölgelerin kenar uzunlukları yandaki şekilde gösterilmiştir.
Buna göre buzdolabının üst kapağının magnetler dışında kalan alanını veren cebirsel ifadenin çarpanlarına ayrılmış hâlini yazınız.
Cevap:

10) Kenar uzunlukları 9t ve 4t olan dikdörtgen şeklindeki bir kâğıt, görseldeki gibi önce dikey sonra da yatay doğrultuda ortadan katlanıyor. Katlanan kâğıt üç köşesinden köşeler çemberin merkezi ve çemberlerin yarıçapları r olacak şekilde kesiliyor.

Buna göre kâğıt açıldığında kâğıdın bir yüzünün alanını veren cebirsel ifadenin çarpanlarına ayrılmış hâlini bulunuz. (π = 3 alınız.)
Cevap:

Aradığınız ödevi bulamadıysanız lütfen Sonuç Yayınları 2026 veya MEB Yayınları 2026 ana içeriğimizi ziyaret ediniz.

Ders ve Çalışma kitabı cevapları aramalarınızda internet sitemizi daha üst sıralarda listelemek için aramalarınızın sonuna "forum sınıf" yazabilirsiniz.
Örnek Kullanım: 3. sınıf türkçe sayfa 11 forum sınıf

