8. Sınıf Matematik Ders Kitabı 141-142-145-148-149-150-151. Sayfa Cevapları MEB Yayınları
8. Sınıf Matematik Ders Kitabı 141-142-145-148-149-150-151. Sayfa Cevapları MEB Yayınları 2025-2026 eğitim-öğretim yılı konusu içerisinde 8. sınıf öğrencilerinin ne çok ihtiyaç duyabileceği konular arasında bulunan ve içerisinde İki Terimin Toplamının Karesi Özdeşliği konusunun yer aldığı 8. Sınıf Matematik Ders Kitabı Sayfa 141-142-145-148-149-150-151 Cevapları konusunu paylaştık. Cevaplarla ilgili görüş ve önerilerinizi yorumlardan yazarak bildirebilirsiniz.

8.Sınıf Matematik Ders Kitabı MEB Yayınları 141-142-145-148. Sayfa Cevapları İki Terimin Toplamının Karesi Özdeşliği
- 8. Sınıf Matematik Ders Kitabı Sayfa 141 Cevapları MEB Yayınları
- 8. Sınıf Matematik Ders Kitabı Sayfa 142 Cevapları MEB Yayınları
- 8. Sınıf Matematik Ders Kitabı Sayfa 145 Cevapları MEB Yayınları
- 8. Sınıf Matematik Ders Kitabı Sayfa 148 Cevapları MEB Yayınları
- 8. Sınıf Matematik Ders Kitabı Sayfa 149 Cevapları MEB Yayınları
- 8. Sınıf Matematik Ders Kitabı Sayfa 150 Cevapları MEB Yayınları
- 8. Sınıf Matematik Ders Kitabı Sayfa 151 Cevapları MEB Yayınları
8. Sınıf Matematik Ders Kitabı Sayfa 141 Cevapları MEB Yayınları
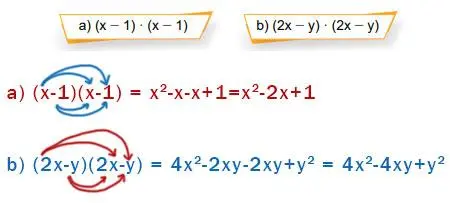
Sıra Sizde 1
(2y + 1) · (2y + 1) özdeşliğini cebir karoları ile modelleyiniz.
Cevap:

8. Sınıf Matematik Ders Kitabı Sayfa 142 Cevapları MEB Yayınları
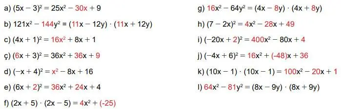
Sıra Sizde 2
Aşağıdaki ifadelerin özdeşlerini yazınız.
Cevap:

8. Sınıf Matematik Ders Kitabı Sayfa 145 Cevapları MEB Yayınları
Sıra Sizde 1
Aşağıdaki ifadelerin özdeşlerini dağılma özelliğini kullanarak bulunuz.
Cevap:

Sıra Sizde 2
x – y = 5 ve x · y = 24 olduğuna göre x² + y² ifadesinin değerini bulunuz.
Cevap:

8. Sınıf Matematik Ders Kitabı Sayfa 148 Cevapları MEB Yayınları
Sıra Sizde 1
(y + 3) · (y – 3) ifadesinin özdeşini dağılma özelliğini kullanarak bulunuz.
Cevap:

Sıra Sizde 2
2023² – 1923² = 100 · T olduğuna göre T kaçtır?
Cevap:

8. Sınıf Matematik Ders Kitabı Sayfa 149 Cevapları MEB Yayınları
Alıştırmalar
1) Aşağıdaki ifadelerden özdeşlik olanların başına “Ö”, denklem olanların başına “D” yazınız.
Cevap:

2) Aşağıdaki boşlukları doldurunuz.
Cevap:

3) Aşağıdaki soruları cevaplayınız.
a) İki gerçek sayının toplamı 16, farkı 4 ise bu iki sayının karelerinin farkı kaç olabilir?
Cevap:

b) Toplamlarının karesi 121 olan iki gerçek sayının karelerinin toplamının 37 olduğu bilindiğine göre bu sayıların çarpımı kaçtır?
Cevap:

c) Karelerinin toplamı 200, çarpımları 2 olan iki gerçek sayının farkının karesi kaçtır?
Cevap:

ç) Toplamlarının karesi 25 olan iki tam sayıdan biri 8 ise diğerinin alabileceği değerlerin çarpımı kaçtır?
Cevap:

8. Sınıf Matematik Ders Kitabı Sayfa 150 Cevapları MEB Yayınları
4) işleminin sonucu kaçtır?
Cevap:

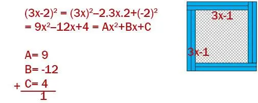
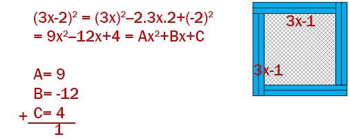
5) Uzun kenarı 3x birim, kısa kenarı 1 birim olan eş sekiz dikdörtgenden oluşan şekil yanda verilmiştir.
Taralı bölgenin alanını ifade eden cebirsel ifade Ax² + Bx + C olduğuna göre A + B + C kaçtır?
Cevap:

6) Yandaki görselde verilen karesel bölge biçimindeki piknik alanı içinde yer alan tabanı kare biçimindeki büfe ve marketin alanları sırasıyla 36 m² ve 64 m² dir.
Piknik alanının bir kenar uzunluğu y metre ise yeşil bölgenin alanını veren cebirsel ifadeyi ve bu cebirsel ifadenin özdeşini yazınız.
Cevap:

7) Aşağıdaki sütun grafiğinde bir araştırmacının seçtiği belirli bir bölgedeki en çok bulunan ev türleri ve bunların miktarları, tabloda ise bu evlerin TL cinsinden maddi değerleri verilmiştir.

Buna göre bu evlerin toplam değerini veren cebirsel ifadeyi yazınız.
Cevap:

8. Sınıf Matematik Ders Kitabı Sayfa 151 Cevapları MEB Yayınları
8) Bir fotoğrafçı, fotoğraf makinesiyle bir kenarı (x – 3) cm olan kare şeklinde bir biyometrik fotoğraf çekip daha sonra bu çektiği fotoğrafı kenar uzunlukları fotoğraf makinesindekinin 2 katı olacak şekilde baskı makinesinden çıkartmaktadır. Çıkan fotoğraflardan birini yanda gösterildiği gibi kenar uzunlukları (2x + 1) cm ve (3x – 1) cm olan dikdörtgen şeklindeki mukavva bir fotoğraflığa koyup müşterisine hediye ediyor.
Fotoğraflıktaki gri çerçevenin alanını veren cebirsel ifadeyi yazınız.
Cevap:

9) Kenar uzunlukları a cm ve (a – 6) cm olan dikdörtgen şeklindeki masanın görünümü aşağıdaki gibidir.

Masayı ortalayacak şekilde örtülen masa örtüsünün kısa kenarlarından ikişer, uzun kenarlarından da birer cm’lik kısmı aşağı doğru sarkmaktadır.
Buna göre bu masa örtüsünün alanını veren cebirsel ifade nedir?
Cevap: (a + 2) (a – 6 + 4) = (a + 2) (a – 2) = a²-4
10) Aşağıda bazı şekillerin ifade ettikleri cebirsel ifade ve işlemler verilmiştir.

Buna göre aşağıdaki şekilleri temsil eden cebirsel ifadeyi yazınız.
Cevap:

Aradığınız ödevi bulamadıysanız lütfen Sonuç Yayınları 2026 veya MEB Yayınları 2026 ana içeriğimizi ziyaret ediniz.

Ders ve Çalışma kitabı cevapları aramalarınızda internet sitemizi daha üst sıralarda listelemek için aramalarınızın sonuna "forum sınıf" yazabilirsiniz.
Örnek Kullanım: 3. sınıf türkçe sayfa 11 forum sınıf

