8. Sınıf Matematik Ders Kitabı 58-60-61-62-63-66-67-68-69. Sayfa Cevapları MEB Yayınları

8. Sınıf Matematik Ders Kitabı 58-60-61-62-63-66-67-68-69. Sayfa Cevapları MEB Yayınları 2025-2026 eğitim-öğretim yılı konusu içerisinde 8. sınıf öğrencilerinin en çok ihtiyaç duyabileceği konular arasında bulunan ve içerisinde 1. Ünite Değerlendirme Soruları konusunun yer aldığı 8. Sınıf Matematik Ders Kitabı Sayfa 58-60-61-62-63-66-67-68-69 Cevapları konusunu paylaştık. Cevaplarla ilgili görüş ve önerilerinizi yorumlardan yazarak bildirebilirsiniz.
8.Sınıf Matematik Ders Kitabı MEB Yayınları 58-60-61-62-63-66-67-68-69. Sayfa Cevapları Tam Kare Pozitif Tam Sayılar ve Karekökleri
- 8. Sınıf Matematik Ders Kitabı Sayfa 58 Cevapları MEB Yayınları
- 8. Sınıf Matematik Ders Kitabı Sayfa 60 Cevapları MEB Yayınları
- 8. Sınıf Matematik Ders Kitabı Sayfa 61 Cevapları MEB Yayınları
- 8. Sınıf Matematik Ders Kitabı Sayfa 62 Cevapları MEB Yayınları
- 8. Sınıf Matematik Ders Kitabı Sayfa 63 Cevapları MEB Yayınları
- 8. Sınıf Matematik Ders Kitabı Sayfa 66 Cevapları MEB Yayınları
- 8. Sınıf Matematik Ders Kitabı Sayfa 67 Cevapları MEB Yayınları
- 8. Sınıf Matematik Ders Kitabı Sayfa 68 Cevapları MEB Yayınları
- 8. Sınıf Matematik Ders Kitabı Sayfa 69 Cevapları MEB Yayınları
8. Sınıf Matematik Ders Kitabı Sayfa 58 Cevapları MEB Yayınları
Tam Kare Pozitif Tam Sayılar ve Karekökleri

Kare motif aparatı, karesel bir zeminin kenarlarına eşit aralıklarla dikilmiş plastik çubuklardan oluşur. Karşılıklı plastik çubuklara ipler gerilir ve bu iplerin kesişimlerine düğümler atılır. Atılan düğümlerle çeşitli kare motifler dokunur
Sizce bir kare motifteki düğüm sayısı hangi doğal sayılar olabilir?
Cevap: Tam kare olan sayılar olabilir. Bunlar 1, 4, 9, 16, 25, 36 ve 49… gibi
8. Sınıf Matematik Ders Kitabı Sayfa 60 Cevapları MEB Yayınları
Sıra Sizde 1

Yukarıdaki kartların her birinin bir yüzünde tam kare doğal sayı, diğer yüzünde ise bu tam kare doğal sayının karekökü yazmaktadır.
Buna göre bu kartların görünmeyen yüzlerindeki doğal sayıların toplamı en az kaç olur?
Cevap: 225 + 121 + 5 + 4 + 2 = 357 olur.
Not: Karekökü olan sayıların karekökünü aldık ancak olmayanların sadece karesini alarak topladık.
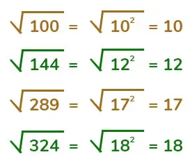
8. Sınıf Matematik Ders Kitabı Sayfa 61 Cevapları MEB Yayınları
ALIŞTIRMALAR
1. 100, 144, 289 ve 324 sayılarının kareköklerini bulunuz.
Cevap:

2. Kare şeklindeki bir duvar kaplama materyalinin görünen yüzünün alanı 900 cm2 olduğuna göre bir kenarının uzunluğu kaç santimetredir?
Cevap: 30 santimetredir.

3. √2² – √25 + √3⁴ işleminin sonucu kaçtır?
Cevap: 2 – 5 + 3² = 2 – 5 + 9 = 5
4. 96, 86, 76, 66, …
Yukarıda verilen tam sayı örüntüsünün terimlerinden tam kare olanların toplamı kaçtır?
Cevap: 52
Sayılar 96, 86, 76, 66, 56, 46, 36, 26, 16 ve 6 diye devam eder.
Bunlardan 36 ve 16 tam karedir.
36 + 16 = 52
5. Basamaklarındaki rakamların toplamı 9 olan, iki basamaklı tam kare doğal sayıların toplamı kaçtır?
Cevap:
Öncelikle 2 basamaklı tam kare doğal sayıları bulalım, bunlar: 16, 25, 36, 49, 64 ve 81’dir.
Bunlardan yalnızca 36 ve 81’in rakamlarını toplayarak 9’u bulabiliriz.
81 + 36 = 117
6 Aşağıdaki ifadelerden doğru olanların başına “D”, yanlış olanların başına “Y” yazınız.
Cevap:

8. Sınıf Matematik Ders Kitabı Sayfa 62 Cevapları MEB Yayınları
7) Aynı yıl doğan Seher ve Bahar’ın doğum tarihlerindeki gün ve ayı gösteren sayılar, ayrı ayrı tam kare doğal sayılardır.
Buna göre Seher ile Bahar arasındaki yaş farkı en fazla kaç ay ve gündür?
Cevap: 8 ay 24 gün
1’si 01.01’de doğmuştur.
2’si 25.09’da doğmuş olur.
8) Yandaki yamuğun alanı santimetrekare cinsinden tam kare doğal sayıya eşittir.

Buna göre yamuğun yüksekliği tam sayı olarak en az kaç santimetredir?
Cevap:
11 + 9 = 20
20 ÷ 2 = 10
10 . h =
20 ÷ 2 = 10
10 . h = 10h
h en az 10 olmalıdır.
9) Bir kapta 4 litre sıvı sabun vardır. Bu sıvı sabun, her biri mililitre cinsinden tam kare doğal sayı olan eşit hacimli sabunluklara tam olarak doldurulacaktır.

Bu iş sonunda kapta sıvı sabun kalmayacağına göre en az kaç tane sıvı sabunluk tam olarak doldurulabilir?
Cevap: 10 tane sıvı sabunluk dolabilir.
4 Litre = 4000 ml
20’nin tam karesi 400’dür. 400’lük kaplara konacak olursa
4000 ÷ 400 = 10 sıvı sabunluk dolacaktır.
10)

Yukarıda kenarları çakışık üç karesel bölge ve bunların alan ölçüleri verilmiştir.
Bu karelerin her birinin alanı üç basamaklı tam kare doğal sayı olduğuna göre yukarıdaki şeklin çevresi en az kaç santimetredir?
Cevap: 14 + 14 + 14 + 13 + 13 + 10 + 10 + 10 + 2 +1 = 101
8. Sınıf Matematik Ders Kitabı Sayfa 63 Cevapları MEB Yayınları
Aşağıda fiyatları altlarında yazan üç farklı renkte halka verilmiştir.
Bu halkalardan mavi renkli olanlar düzenekte yüzler basamağına, kırmızı renkli olanlar onlar basamağına ve sarı renkli olanlar ise birler basamağına asılarak üç basamaklı sayılar örnekteki gibi modellenecektir.
Aşağıdaki modellere en az maliyetle yeni halkalar ekleyerek üç basamaklı tam kare sayılar oluşturunuz. Oluşturduğunuz sayıları modellerin yanına yazınız.
Cevap:

8. Sınıf Matematik Ders Kitabı Sayfa 66 Cevapları MEB Yayınları
Sıra Sizde 1
√43 ve √90 ifadelerinin hangi doğal sayılar arasında ve bu sayılardan hangisine daha yakın olduğunu ayrı ayrı bulunuz.
Cevap:

8. Sınıf Matematik Ders Kitabı Sayfa 67 Cevapları MEB Yayınları
DÜŞÜNME ZAMANI
Aşağıda verilen soruları yönergeye göre cevaplayınız.
Üzerlerinde rakamları birbirinden farklı olan doğal sayıların yazılı olduğu kartlar;
- kartın üzerindeki sayı bir tam kare sayı ise kareköküne eşit numaralı kutuya,
- kartın üzerindeki sayı tam kare olmayan doğal sayı ise kareköküne en yakın numaralı kutuya atılacaktır.
- Son durumda her kutuda bir kart olacaktır.
a) Kartlar üzerinde verilen sayılar iki basamaklı olduğuna göre A, B, C, D ve E harflerinin alacağı değerler toplamı en az kaçtır?
Cevap: 9 olmalıdır.

2 + 5 + 1 + 0 + 1 = 9’dur.
b) Kartlar üzerinde verilen sayılar üç basamaklı olduğuna göre K, L, M, N ve P harflerinin alacağı değerler toplamı en çok kaçtır?
Cevap: 16’dır.

1 + 1 + 3 + 2 + 9 = 16’dır.
8. Sınıf Matematik Ders Kitabı Sayfa 68 Cevapları MEB Yayınları
ALIŞTIRMALAR
1) Aşağıdaki kareköklü ifadelerin hangi ardışık doğal sayılar arasında olduğunu belirleyiniz.
Cevap:

2) Aşağıdaki kareköklü ifadelerin en yakın olduğu doğal sayıyı belirleyiniz.
Cevap:

3) Bir doğal sayının karekökü 7 ile 8 doğal sayıları arasındadır.
Buna göre bu doğal sayının alabileceği en büyük değer kaçtır?
Cevap: 63
7 → √49
8 → √64
Alabileceği en büyük değer 63 olur.
4) 13 ve 91 doğal sayılarının karekökleri arasındaki doğal sayıların toplamını bulunuz.
Cevap:

5) Sayı doğrularında verilen kareköklü ifadelere sağdan ve soldan en yakın olan doğal sayıları belirleyiniz.
Cevap:

8. Sınıf Matematik Ders Kitabı Sayfa 69 Cevapları MEB Yayınları
6) Tuba Hanım, elindeki 35 metrelik ipin √250 metresini kullanmıştır.
Geriye kalan ipin uzunluğunun metre cinsinden değerinin hangi doğal sayıya daha yakın olduğunu bulunuz.
Cevap:

7) Akif’in mekanik kaleminin ucunun boyu √91 santimetredir.
Bir saatte ortalama 1,5 santimetre uç kullanan Akif’in 3 saat sonra kaleminde kalan ucun boyunun santimetre cinsinden hangi doğal sayıya daha yakın olduğunu bulunuz.
Cevap:

8) Zehra’nın silgisinin boyu 5 ile 6 santimetre arasında olup 6 santimetreye daha yakındır.
Buna göre Zehra’nın silgisinin boyunun santimetre cinsinden hangi doğal sayıların karekökü olarak ifade edilebileceğini bulunuz.
Cevap:

9) Dairenin alanı = π · r² formülü ile bulunur
Yukarıda verilen merkezleri aynı doğru üzerinde olan üç dairenin alanı küçükten büyüğe doğru sırasıyla 75 cm² , 108 cm² ve 144 cm² dir.
Buna göre A noktası ile C noktası arasındaki mesafenin cm cinsinden hangi doğal sayıya daha yakın olduğunu bulunuz. (π = 3 alınız.)
Cevap:

10) 1bc üç basamaklı ve 1c iki basamaklı doğal sayıdır. √1 bc + √1c işleminin sonucu tam sayıdır. Buna göre √b+c ifadesinin değerinin hangi tam sayıya daha yakın olduğunu bulunuz.
Cevap:

Aradığınız ödevi bulamadıysanız lütfen Sonuç Yayınları 2026 veya MEB Yayınları 2026 ana içeriğimizi ziyaret ediniz.

Ders ve Çalışma kitabı cevapları aramalarınızda internet sitemizi daha üst sıralarda listelemek için aramalarınızın sonuna "forum sınıf" yazabilirsiniz.
Örnek Kullanım: 3. sınıf türkçe sayfa 11 forum sınıf

