8. Sınıf Matematik Ders Kitabı 70-71-72-73-74-75. Sayfa Cevapları MEB Yayınları

8. Sınıf Matematik Ders Kitabı 70-71-72-73-74-75. Sayfa Cevapları MEB Yayınları 2025-2026 eğitim-öğretim yılı konusu içerisinde 8. sınıf öğrencilerinin en çok ihtiyaç duyabileceği konular arasında bulunan ve içerisinde Kareköklü Bir İfadeyi a b Şeklinde Yazma ve a b Şeklindeki İfadede Katsayıyı Karekök İçine Alma konusunun yer aldığı 8. Sınıf Matematik Ders Kitabı Sayfa 70-71-72-73-74-75 Cevapları konusunu paylaştık. Cevaplarla ilgili görüş ve önerilerinizi yorumlardan yazarak bildirebilirsiniz.
8.Sınıf Matematik Ders Kitabı MEB Yayınları 70-71-72-73-74-75. Sayfa Cevapları Kareköklü Bir İfadeyi a b Şeklinde Yazma ve a b Şeklindeki İfadede Katsayıyı Karekök İçine Alma
- 8. Sınıf Matematik Ders Kitabı Sayfa 70 Cevapları MEB Yayınları
- 8. Sınıf Matematik Ders Kitabı Sayfa 71 Cevapları MEB Yayınları
- 8. Sınıf Matematik Ders Kitabı Sayfa 72 Cevapları MEB Yayınları
- 8. Sınıf Matematik Ders Kitabı Sayfa 73 Cevapları MEB Yayınları
- 8. Sınıf Matematik Ders Kitabı Sayfa 74 Cevapları MEB Yayınları
- 8. Sınıf Matematik Ders Kitabı Sayfa 75 Cevapları MEB Yayınları
8. Sınıf Matematik Ders Kitabı Sayfa 70 Cevapları MEB Yayınları
Kareköklü Bir İfadeyi a b Şeklinde Yazma ve a b Şeklindeki İfadede Katsayıyı Karekök İçine Alma
Haberleşme uyduları iletişim amaçlı kullanılan, uzayda dünyanın yörüngesinde dönen, insan yapımı elektronik cihazlardır. Yapay uydular olarak da adlandırılır. Tasarımı tamamlanan haberleşme uydusunun ayrıt uzunlukları aşağıdaki görselde verilmiştir.

Ayrıt uzunlukları verilen bu haberleşme uydusu küp şeklinde olabilir mi?
Cevap: Tüm ayrıtları kök 80 olduğu için küptür.
8. Sınıf Matematik Ders Kitabı Sayfa 71 Cevapları MEB Yayınları
Sıra Sizde 1
√75 ve √147 sayılarını a√b şeklinde ifade ediniz.
Cevap:

8. Sınıf Matematik Ders Kitabı Sayfa 72 Cevapları MEB Yayınları
Sıra Sizde 2
4√3, 5√2 ve 7 ‘yi büyükten küçüğe doğru sıralayınız.
Cevap:

8. Sınıf Matematik Ders Kitabı Sayfa 73 Cevapları MEB Yayınları
DÜŞÜNME ZAMANI

a√b biçimindeki kareköklü bir ifade, satır numarası a ve sütun numarası b olacak şekilde modellenmiştir. Örneğin 3√5 kareköklü ifadesi 3. satır ve 5. sütunda bulunan hücre ile temsil edilmiş ve bu hücre karalanmıştır.
Aşağıdaki kareköklü ifadelerin a√b biçimindeki tüm gösterimlerini yazınız. Bu gösterimlerden uygun olanların temsil ettiği hücreleri diyagramda karalayınız.
Karalanmayan hücrelerdeki harfleri soldan sağa doğru sıra ile birleştirerek ünlü bir düşünürümüzün ismini ve ona ait bir sözü bulunuz.

Düşünürümüzün İsmi ve Ona Ait Sözü
ZAFERİN DEĞERİNİ KAZANANLAR BİLMEZ. ONU MAĞLUPLARA SORUN.
NURETTİN TOPÇU
8. Sınıf Matematik Ders Kitabı Sayfa 74 Cevapları MEB Yayınları
ALIŞTIRMALAR
1) Aşağıdaki ifadeleri a√b şeklinde yazınız.
Cevap:

2) Aşağıdaki ifadelerde katsayıları karekök içine alınız.
Cevap:

3) Aşağıdaki eşitlikleri sağlayan a’nın tam sayı değerlerini bulunuz.
Cevap:

4) a ve b pozitif tam sayılar olmak üzere a√b = √192 ise a ile b tam sayılarının toplamının alabileceği en küçük değeri bulunuz.
Cevap:
En küçüğü istediği için sayılar birbirine mutlaka yakın olmalıdır.

5) √2⁶ + 2⁵ + 2⁴ + 2³ + 2² = a√b ise a+b en az kaçtır?
Cevap:

8. Sınıf Matematik Ders Kitabı Sayfa 75 Cevapları MEB Yayınları
6) Aşağıdaki kareköklü ifadeleri büyükten küçüğe doğru sıralayınız.
Cevap:

7) Alanı 240 santimetrekare olan dairenin yarıçap uzunluğu santimetre cinsinden a√b şeklinde ifade ediliyor.
Buna göre √a.b ifadesinin alabileceği en küçük değeri bulunuz. (π = 3 alınız.)
Cevap:

8) Bir karenin alanı, kenar uzunluğu 3√15 cm olan karenin alanından büyük ve santimetre cinsinden bir doğal sayıdır.
Karenin alanının alabileceği en küçük değer için bir kenar uzunluğunu santimetre cinsinden a√b şeklinde ifade ediniz. (a=1)
Cevap:

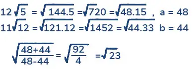
9)
12√5 = √a.15
11√12 = √b.33
Yukarıdaki eşitliklere göre √a+b/a-b ifadesinin eşit olduğu sayıyı bulunuz.
Cevap:

10) x ve y iki basamaklı asal sayılardır. 5x-y ifadesi tam kare sayıya eşittir.
x ve y’nin toplamının en küçük değerinin karekökü a√b şeklinde ifade edildiğine göre b/a en az kaç olur?
Cevap:

Aradığınız ödevi bulamadıysanız lütfen Sonuç Yayınları 2026 veya MEB Yayınları 2026 ana içeriğimizi ziyaret ediniz.

Ders ve Çalışma kitabı cevapları aramalarınızda internet sitemizi daha üst sıralarda listelemek için aramalarınızın sonuna "forum sınıf" yazabilirsiniz.
Örnek Kullanım: 3. sınıf türkçe sayfa 11 forum sınıf

